Hunting for the primordial gravitational waves

 

arXiv:1409.7025 by Cheng Cheng, Qing-Guo Huang and Sai Wang

        1915年爱因斯坦提出广义相对论之后第二年,即1916年,他发现广义相对论预言存在引力波。引力波是时空的涟漪。广义相对论是描述无质量自旋为2的粒子(引力子)的一个自洽理论。然而100年来引力波从未被发现过。现在全世界很多科学家正在通往发现引力波的道路上赛跑。

        

        原初引力波(primordial gravitational waves)产生于极早期宇宙。由于宇宙的膨胀,它们的波长被拉长到宇宙尺度。由于引力子自旋为2,它们会在微波背景辐射极化上留下特殊的“指纹”(B-模极化)。

        2014年3月,宇宙河外背景偏振成像(BICEP2)合作组声称他们发现了原初引力波留下来的特殊的指纹(arXiv:1403.3985)!这一发现震撼了整个基础科学界。如果这是真的,那么将无疑是基础科学领域一个突破性的进展。大家津津乐道的不是这个发现能否值诺贝尔奖的问题,而是值几个诺贝尔奖的问题。如果BICEP2探测到的信号来自原初引力波,那么张-标比(tensor-to-scalar ratio)为r=0.20(-0.05)(+0.07)。这与A. Linde提出的m^2phi^2暴涨模型的预言相吻合。因此很多人乐观的估计发现B-模极化的BICEP2小组和提出暴涨宇宙学模型的三位科学家(A. Starobinsky, A. Guth和A. Linde)分别获得诺贝尔物理奖。

        2014年5月开始峰回路转。美国有两个小组构造了尘埃物质产生的CMB B-模极化模型,指出尘埃物质也可以很好的拟合BICEP2的观测数据(arXiv:1405.5857 by Mortonson and Seljak from UCBerkeley, 1405.7351 by Flauger, Hill and Spergel from Princeton University and New York University)。但是这两个小组都不能很好的预言尘埃物质产生的CMB B-模极化的大小,因此不能完全判断BICEP2的观测数据到底是来自宇宙尘埃还是原初引力波。要回答这个问题需要普朗克卫星的高频(353GHz)观测数据。

        2014年9月22日,星期一,普朗克353GHz的观测数据出现在预印本服务器上(arXiv:1409.5738)。下图中框住的部分对应BICEP2所观测的天区。

看到这篇文章后我意识到应当立即着手利用普朗克353GHz的观测数据定量分析BICEP2的数据是否还含有原初引力波的证据。把普朗克353GHz的结果作为一个prior加到COSMOMC,我们得到以下结论:

1、联合普朗克2013年发布的温度各向异性角功率谱和WMAP极化功率谱的数据,发现BICEP2的数据不包含原初引力波存在的证据。

2、在99.7%置信水平上排除A. Linde提出的m^2phi^2暴涨模型

我们的结果受到A. Linde, J. Ellis, U. Seljak等人的关注,与2015年2月BICEP2和普朗克合作组联合分析得到的结果(arXiv:1502.00612, 1502.02114)一致!

2015年诺贝尔物理奖:中微子振荡

 

2015年诺贝尔物理奖颁发给Takaaki Kajita和Arthur B. McDonald,以表彰他们发现中微子振荡,揭示中微子具有质量。

 

附我为“科学人”撰写的简评:

传统的粒子物理标准模型认为中微子是没有质量的。然而中微子振荡现象毫无疑义地揭示了至少有些中微子的质量并非为零。既然它们具有质量,那么它们的质量是如何排序的呢?尽管中微子如同幽灵一般在宇宙中自由穿梭,如入无人之境,但是它们却可以影响宇宙结构的形成。因此中微子质量的顺序有可能可以通过对宇宙结构的测量确定下来。2015年诺贝尔物理学奖颁给中微子振荡现象的发现。这绝不是中微子物理的终结,而是中微子物理一个新的开始。有理由相信在不远的未来中微子物理将会为我们揭示更多宇宙的奥秘,给我们带来更大的惊喜!

Planck 2015 versus BAO at z=2.34

 

arXiv:1509.00969 by Qing-Guo Huang, Ke Wang and Sai Wang

        普朗克卫星对微波背景辐射(CMB)各向异性的测量将宇宙学推入一个前所未有的"精细"宇宙学时代。微波背景辐射光子从宇宙大爆炸之后约38万年的时候一直传播到现在(约138亿年)。暗能量具有负的压强,而且在宇宙晚期主导宇宙的演化。微波背景辐射各向异性可以用来限制暗能量的关键性质:暗能量的能量密度(rho_de)及其状态方程(w=p_de/rho_de)。宇宙学常数是最简单的暗能量模型,它的状态方程是w=-1。

        采用宇宙学蒙特卡洛马尔科夫链(CosmoMC)的方法拟合数据组发布的似然数据点可以限制宇宙学模型参数。如果仅仅局限于研究暗能量的性质,有时并不需要用全局拟合的方法,而仅需计入一些约化的特征参数,比如distance priors {R, l_A, Omega_b h^2, n_s},其中R表征声学峰的幅度,l_A表征声学峰的结构。2015年2月,普朗克合作组发布最新的科学结果,但是并没有同时发布微波背景辐射极化的似然数据。在arXiv:1502.01590中,普朗克合作组仅仅利用TT+lowP的数据重构出distance priors。最近普朗克合作组公开了极化的数据。我们采用了所有的普朗克观测数据(包括极化数据)重构了distance priors。我们的结果比普朗克合作组结果的精度改进了30%~40%。见图1中蓝色的轮廓线。我们的结果是迄今为止得到的最精确的distance priors。我们的结果发布到arXiv几天后,Caltech的Yun Wang及其合作者Mi Dai也得到了类似的结果(arXiv:1509.02198)。

[图1]

        目前为止,几乎所有的宇宙学观测都可以很和谐的在宇宙学常数+冷暗物质(LCDM)宇宙学模型下得到解释。LCDM模型也常常被称为标准宇宙学模型。然而,尽管普朗克2015年发布的观测数据和低红移重子声波振荡(BAO)的数据在LCDM模型下高度自恰(arXiv:1502.01589),但是却和通过Lyalpha forest得到的红移z=2.34的BAO的数据(arXiv:)存在大约2.7个标准偏差的偏离。这种偏离可能源于数据处理时一些尚未知晓的系统误差。还有一种可能是需要修改LCDM宇宙学模型。

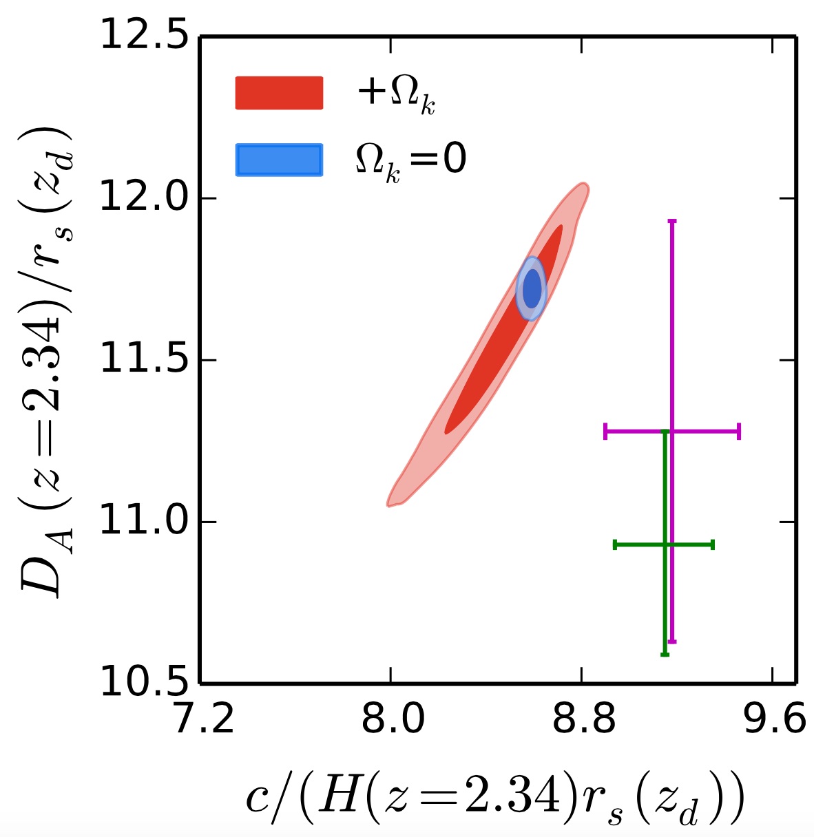
        在arXiv:1509.00969中,我们将LCDM模型扩展到一般的暗能量模型,并进一步扩展到空间弯曲的宇宙模型。利用前面的到的distance priors,低红移BAO以及Union2.1超新星数据限制这两个扩展模型,并预言这两个模型在红移z=2.34的角直径距离(D_A)以及哈勃参数。见图2中蓝色和红色的轮廓线。图2中紫色和绿色“十”字型分别对应Lyalpha forest自相关的测量结果以及复合了自相关和互相关联数据得到的结果。从图2不难发现在这两个扩展模型中,普朗克的观测数据以及低红移BAO的观测数据仍然和红移z=2.34的BAO数据存在明显的不一致。可见简单的扩展LCDM宇宙学模型并不能很好的解释这几组数据之间的不一致。

[图2.紫色和绿色“十”字型分别对应Lyalpha forest自相关的测量结果

以及复合了自相关和互相关数据得到的结果

        当然目前这种不一致的置信度大约只有2个标准偏差。这不足以得到确定性的结论。如果未来有更多更可靠的数据进一步确认这种不一致将强烈暗示确实需要超越LCDM宇宙学模型。

显示 8 条结果中的 6 - 8。
每页条目数 5
的 2

 

Qing-Guo Huang (Professor)

 

Coordinates:

Tel(O): 86-10-62551786

Fax: 86-10-62562587

Email: huangqg<AT>itp.ac.cn

Affiliation: Institute of theoretical physics, Chinese Academy of Sciences

Address: Zhong Guan Cun East Street 55#, P.O.Box 2735, Beijing, 100190, China