原初黑洞暗物质研究的重要进展

中国科学院理论物理研究所黄庆国研究员与他的两名博士研究生(陈祖成和袁晨)在伴随原初黑洞形成而产生的诱导引力波的理论研究和观测数据分析方面取得了一系列重要的进展。特别是,他们首次完成了在北美纳赫兹引力波天文台(NANOGrav)发布的脉冲星计时阵列11年的观测数据中搜寻诱导引力波的信号,结果显示缺乏显著的统计学意义上的信号,从而得到目前国际上在大约千分之一到一倍太阳质量原初黑洞在暗物质中所占比例(丰度)的最严格限制。相关结果发表在Phys.Rev.Lett.。

https://journals.aps.org/prl/abstract/10.1103/PhysRevLett.124.251101

  宇宙学和天文学观测表明宇宙中存在大量的暗物质,约占宇宙全部物质的85%。不同于其他约占15%的普通物质,暗物质的本质依然是当前基础物理中最大的谜团之一。尽管弱相互作用大质量粒子(WIMP)被认为是暗物质的一个重要的候选者,但是大量的实验观测都没有发现它们存在的证据。相反地,它们赖以存在的理论参数空间正在被迅速的压缩。原初黑洞最早由霍金以及卡尔在上世纪七十年代初提出。原初黑洞产生于早期宇宙辐射为主时期大的密度涨落导致的引力塌缩。较大的原初黑洞的量子效应可以忽略不计,因而几乎是不发光的,是暗物质的一个天然候选者。一个关键的科学问题是宇宙中的暗物质是否全部或部分由原初黑洞组成。

  物理上,大的密度涨落带来宇宙物质密度分布的梯度,进而产生四极矩。同时在引力理论中,密度涨落必然随时间演化,因而原初黑洞形成的过程中必然伴随产生由密度扰动诱导的引力波。搜寻这些诱导引力波成为寻找原初黑洞的一个强有力的工具。鉴于爱因斯坦广义相对论是一个非线性的理论,黄庆国研究员以及他的两名学生首次计算了伴随原初黑洞形成而产生的三阶诱导引力波,发现此三阶效应将未来的脉冲星计时阵列(包括IPTA、FAST以及SKA等)通过诱导引力波探测原初黑洞的质量范围有效地扩展到LIGO探测的黑洞质量范围。相关成果作为快讯(Rapid Communication)发表于Phys.Rev.D。此外,除了诱导引力波以外,其他一些天体物理过程也会辐射出引力波,并最终形成弥漫于整个宇宙的随机引力波背景。如何区分诱导引力波和其他天体物理过程产生的引力波成为利用诱导引力波探测原初黑洞的一个关键问题。他们发现诱导引力波能量谱的谱指数具有一种特别的对数依赖性,并且这一特征可以有效地用于区分其他天体物理过程产生的随机引力波背景。相关成果发表于Phys.Rev.D。最后,他们将这些理论结果应用到在NANOGrav 11年的实际观测数据中搜寻伴随原初黑洞形成而产生的诱导引力波。由于没有发现具有统计显示度的信号,他们得到目前国际上在大约千分之一到一倍太阳质量原初黑洞丰度(fpbh)的最严格限制。相较于其他的天文学观测限制,他们的结果显著地提升了几个到十几个数量级。

暴涨还是替代模型?

 

以下是我为《环球科学》关于暴涨还是替代模型争论写的评论。

毋庸置疑暴涨宇宙学取得了巨大的成功,它所自然预言的宇宙空间平坦性和近标度不变的原初密度涨落都得到了精确宇宙学观测的强烈支持。不可否认,现有的暴涨宇宙学理论依然并非完美,仍然需要更深入的探究。但是,正如热大爆炸宇宙学模型尽管存在空间平坦性、视界等疑难,由于诸多的宇宙学观测给予大量的支持,因此热大爆炸模型仍然被广泛接受为标准的宇宙学模型。反过来看,这些暴涨的替代模型为了能提供和暴涨同样多的对已有观测现象的解释,往往需要更为精巧得多的人为构造。它们带来的问题甚至比解决的问题还要多。极早期宇宙的物理过程发生在宇宙最初极为短暂的时期,因此人们并不能回到那个时期去直接“观测”宇宙的演化,而是只能通过间接的方法去重构产生于那个时期的量子扰动的关联函数。令人遗憾的是仅仅通过关联函数原则上并不能区分那个时期宇宙是在暴涨还是收缩,因此目前并没有任何观测可以提供确凿无疑的方法来区分早期宇宙暴涨和其他替代模型。无论如何,从自然性和简单性原则来看,与那些替代模型相比,暴涨宇宙学不失为最简单和自然的极早期宇宙学模型。

阿里原初引力波科学研讨会

 

时间:2016年4月18日

地点:中国科学院理论物理研究所新楼6620

召集人:黄庆国

会务:刘伟

 

主持人:蔡荣根

09:50-10:00 开幕

10:00-11:00 张新民/苏萌/李虹:阿里原初引力波探测计划介绍

11:00-11:15 合影+休息

11:15-12:15 黄庆国:暴涨和原初引力波

 

12:15-13:30 午餐+休息

 

主持人:陈学雷

13:30-14:00 范祖辉:Weak lensing peak studies

14:00-14:30 李明哲:Some topics on B-mode cosmology

14:30-15:00 张乐:Challenges of foreground subtraction in B-mode measurements

15:00-15:15 李思宇:阿里原初引力波探测计划模拟初步结果

15:15-15:45 休息

15:45-18:00 自由讨论

Neutrino mass and mass hierarchy

 

arXiv:1512.05899 by Qing-Guo Huang, Ke Wang and Sai Wang

        中微子振荡的发现表明中微子是有质量的。中微子振荡的发现赢得了2015年诺贝尔物理奖。然而通过中微子振荡实验只能测量中微子质量平方差,不能测量中微子的绝对质量。

The tensor tilt n_t

 

arXiv:1403.7173 by Cheng Cheng and Qing-Guo Huang 

arXiv:1502.02541 by Qing-Guo Huang and Sai Wang 

arXiv:1509.02676 by Qing-Guo Huang, Sai Wang and Wen Zhao

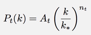
        暴涨模型预言原初引力波功率谱可以简单参数化为

,

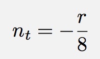
其中。正则单场慢滚暴涨预言张标比。因此正则单场暴涨模型有一个自洽性关系: 

这个关系不依赖于具体的暴涨模型。目前的观测结果是r<0.1,那么-n_t<0.0125,即正则单场慢滚暴涨产生的原初引力波功率谱非常接近于标度不变谱。另一方面,可以利用观测数据来检验这个自洽性关系。如果这个自洽性关系不成立,那么就可以排除所有正则单场暴涨模型。

        2014年3月BICEP2声称发现原初引力波的信号,并发布了全部数据。我们马上意识到下一个重要的问题就是研究原初引力波功率谱的谱指数(n_t)。我们首先利用普朗克卫星温度各向异性角功率谱和WMAP极化谱对张标比(r)和张量谱指数(n_t)进行限制(见下图灰色的轮廓线)。从图中不难发现普朗克卫星温度各向异性角功率谱和WMAP极化谱得到的结果和BICEP2的结果(蓝色线)存在明显的不一致。利用所有这些数据得到的结果如下图中的绿色轮廓线。绿色轮廓线显示在约99.7%置信水平上n_t>0,这与简单的暴涨模型预言不一致。但是,事实上把两组相互矛盾的数据拿来做联合分析是不可靠的。在文章中,我们明确指出绿色轮廓线对应的结果应当是非物理的

正如上篇博文所指出的,我们需要考虑尘埃所带来的污染。在我们完成arXiv:1403.7173的时候普朗克卫星尚未公开353GHz的测量结果。我们采用参数化D_l^dust~l^{-0.3}得到的结果如下图所示。从图中不难发现n_t=0仍然在一个标准偏差范围内!

        事实上,微波背景辐射温度各向异性角功率谱由标量扰动(密度扰动)主导,因此并不适合用来限制引力波功率谱的谱指数。2015年2月BICEP2和普朗克合作组联合发布了普朗克卫星,BICEP2和KeckArray对微波背景辐射B-模极化的测量结果(arXiv:1502.00612)。在arXiv:1502.02541中,为了避免起主导作用的标量扰动对引力波功率谱性质限制带来的偏见,我们提出应当只用B-模极化的数据来限制引力波功率谱的谱指数。为了更好的限制引力波功率谱谱指数的正的部分,我们进一步提出应当联合LIGO的观测数据(arXiv:1406.4556)。结果如下图所示。可见n_t=0和观测数据相一致,而且LIGO的数据确实有助于更好的限制n_t>0的部分。

        未来地面和气球实验对张标比(r)的探测精度大约是0.01,而卫星实验有可能达到0.001的探测精度(arXiv:1502.01983)。在arXiv:1509.02676中,我们考虑普朗克卫星对尘埃的测量结果后,预测未来各种观测测量n_t所能达到的精度。我们发现对于r<0.1即使是未来可预见的最精确的卫星观测(LiteBIRD)都无法检验正则单场暴涨模型的自洽性关系。假定r~0.01,未来CLASS(蓝色)和LiteBIRD(红色)所能达到的精度如下图所示。

显示 8 条结果中的 1 - 5。
每页条目数 5
的 2

 

Qing-Guo Huang (Professor)

 

Coordinates:

Tel(O): 86-10-62551786

Fax: 86-10-62562587

Email: huangqg<AT>itp.ac.cn

Affiliation: Institute of theoretical physics, Chinese Academy of Sciences

Address: Zhong Guan Cun East Street 55#, P.O.Box 2735, Beijing, 100190, China